ΕΟΔΥ: Μικρή ανάσα για τα μειωμένα κρούσματα – 822 διασωληνωμένοι – 75 θάνατοι (πίνακες)
Δείτε αναλυτικά τα στοιχεία.

Ανακοινώθηκαν από τον Εθνικό Οργανισμό Δημόσιας Υγείας 2.759 νέα κρούσματα κορονοϊού στην Ελλάδα, 75 νέοι θάνατοι και οι 822 διασωληνωμένοι.
Τα στοιχεία που παρουσιάζονται αφορούν περιστατικά από την επιδημιολογική επιτήρηση της νόσου από το νέο κορωνοϊό (COVID19), με βάση τα δεδομένα που έχουν δηλωθεί στον ΕΟΔΥ και καταγραφεί μέχρι τις 22 Απριλίου 2021 (ώρα 15:00). Τα νέα εργαστηριακά επιβεβαιωμένα κρούσματα της νόσου που καταγράφηκαν τις τελευταίες 24 ώρες είναι 2.759, εκ των οποίων 2 εντοπίστηκαν κατόπιν ελέγχων στις πύλες εισόδου της χώρας.
Ο συνολικός αριθμός των κρουσμάτων ανέρχεται σε 326.395 (ημερήσια μεταβολή +0.9%), εκ των οποίων 51.3% άνδρες. 1 Με βάση τα επιβεβαιωμένα κρούσματα των τελευταίων 7 ημερών, 55 θεωρούνται σχετιζόμενα με ταξίδι από το εξωτερικό και 2.872 είναι σχετιζόμενα με ήδη γνωστό κρούσμα. Ημερήσια εξέλιξη της πανδημίας: Η ημερήσια κατανομή των επιβεβαιωμένων κρουσμάτων είναι η ακόλουθη (η γραμμή παριστάνει την συνολική, αθροιστική κατανομή των κρουσμάτων)
Ο αριθμός των ασθενών που νοσηλεύονται διασωληνωμένοι είναι 822 (62.8% άνδρες). Η διάμεση ηλικία τους είναι 68 έτη. To 85.8% έχει υποκείμενο νόσημα ή/και ηλικία 70 ετών και άνω. Από την αρχή της πανδημίας έχουν εξέλθει από τις ΜΕΘ 1.986 ασθενείς. Οι εισαγωγές2 νέων ασθενών Covid-19 στα νοσοκομεία της επικράτειας είναι 468 (ημερήσια μεταβολή -15.83%). Ο μέσος όρος εισαγωγών του επταημέρου είναι 492 ασθενείς.Η διάμεση ηλικία των κρουσμάτων είναι 44 έτη (εύρος 0.2 έως 106 έτη), ενώ η διάμεση ηλικία των θανόντων είναι 79 έτη (εύρος 0.2 έως 106 έτη). Διάγραμμα 4: Ηλικιακή Κατανομή κρουσμάτων, νοσηλευόμενων στις MEΘ και ασθενών που απεβίωσαν από την αρχή της πανδημίας.


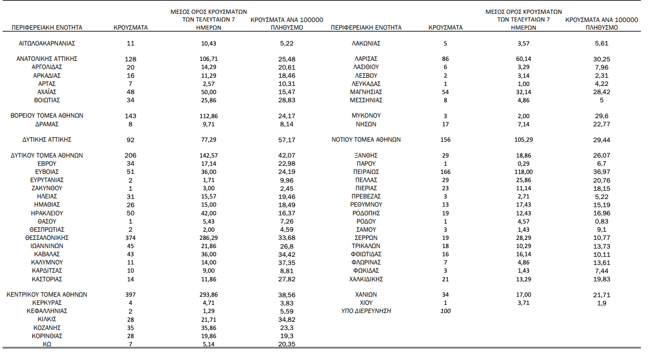
Κατανομή ανακοινωθέντων εγχώριων κρουσμάτων: Από το σύνολο των 2.759 νέων κρουσμάτων του νέου ιού στη χώρα 6 είναι εισαγόμενα εκ των οποίων 2 εντοπίστηκαν κατόπιν ελέγχων στις πύλες εισόδου της χώρας. Η κατανομή των 2.753 νέων εγχώριων κρουσμάτων ανά Περιφερειακή Ενότητα παρουσιάζεται στον κατωτέρω πίνακα.3 Πίνακας 2: Ημερήσιος αριθμός και κρούσματα ανά 100.000 πληθυσμού επιβεβαιωμένων εγχώριων κρουσμάτων COVID-19 ανά περιφερειακή ενότητα στις 22 Απριλίου 2021

Δείγματα που έχουν ελεγχθεί: Από την 1η Ιανουαρίου 2020 μέχρι σήμερα, στα εργαστήρια που διενεργούν ελέγχους για τον νέο κορωνοϊό (SARS-CoV-2) και που δηλώνουν συστηματικά το σύνολο των δειγμάτων που ελέγχουν, έχουν συνολικά ελεγχθεί 4.532.854 κλινικά δείγματα ενώ από Μονάδες Υγείας και Κλιμάκια του ΕΟΔΥ που διενεργούν ελέγχους Rapid Ag έχουν ελεγχθεί 3.159.601 δείγματα. O μέσος όρος του επταημέρου είναι 54.029 δειγματοληπτικοί έλεγχοι. Mαζικές Δειγματοληψίες ΕΟΔΥ: Στις 21 Απριλίου 2021, πραγματοποιήθηκαν 121 δράσεις δειγματοληπτικών ελέγχων από τις Κινητές Ομάδες Υγείας (ΚΟΜΥ) του ΕΟΔΥ, στις οποίες διενεργήθηκαν 17.280 έλεγχοι Rapid Ag και ανευρέθηκαν 294 θετικά (1,7%).

Γεωγραφική διασπορά: Ο χάρτης αποτυπώνει τη γεωγραφική κατανομή των συνολικών κρουσμάτων COVID-19 (από την αρχή της επιδημίας) ανά Περιφερειακή Ενότητα της χώρας, με βάση την δηλωθείσα διεύθυνση μόνιμης κατοικίας του ασθενούς, ή τη διεύθυνση προσωρινής διαμονής για τους τουρίστες και άλλους προσωρινά διαμένοντες στην Ελλάδα. Συμπεριλαμβάνονται τόσο κρούσματα με ιστορικό ταξιδίου (“εισαγόμενα”) όσο και κρούσματα με πιθανή εγχώρια μετάδοση.

Eθνικό Δίκτυο Γονιδιωματικής Επιτήρησης για τις μεταλλάξεις του SARS-CoV-2 Ολοκληρώθηκε η γονιδιωματική ανάλυση σε 1.190 επιλεγμένα δείγματα που αφορούν στην περίοδο 26 Φεβρουαρίου έως 10 Απριλίου 2021. Από τον έλεγχο των 1.190 δειγμάτων, αναδείχθηκαν συνολικά 993 δείγματα με στελέχη μεταλλάξεων ειδικού ενδιαφέροντος (Variants Of Concern – VOC) και 122 δείγματα με στελέχη υπό διερεύνηση (Variants Under Investigation – VUI). Εκ των 993 δειγμάτων με στελέχη μεταλλάξεων ειδικού ενδιαφέροντος, τα 989 αφορούσαν τη μετάλλαξη Β.1.1.7/UK lineage (Variant VOC_202012) και 4 αφορούσαν τη μετάλλαξη B.1.351/South Africa (Variant 501.V2), ενώ από τα 122 δείγματα με στελέχη VUI, τα 120 αφορούσαν το στέλεχος B.1.1.318 (Variant_E484K), 1 αφορούσε το στέλεχος Β.1.1 (Variant_Ε484Κ) και 1 αφορούσε το στέλεχος VariantVUI-202102/03 (Πίνακας 3). Συνολικά έχουν ελεγχθεί για μεταλλάξεις στην επικράτεια 8.815 δείγματα από εγχώρια κρούσματα από την έναρξη λειτουργίας του Εθνικού Δικτύου Γονιδιωματικής Επιτήρησης μεταλλάξεων SARS-CoV-2 μέχρι σήμερα. Επί του συνόλου των ελεγχθέντων για μεταλλάξεις εγχώριων δειγμάτων, οι τρεις πιο συχνές μεταλλάξεις που έχουν απομονωθεί είναι η Β.1.1.7/UK lineage (Variant VOC_202012), με ποσοστό 64,22%, ακολουθούμενη από τη B.1.1.318 (Variant_E484K) με ποσοστό 4,65% και τη B.1.351/South Africa (Variant 501.V2) με ποσοστό 0,74% (Πίνακας 4). Επιπλέον, έχουν απομονωθεί συνολικά 88 στελέχη με μεταλλάξεις από εισαγόμενα δείγματα, εκ των οποίων 86 αφορούν τη μετάλλαξη Β.1.1.7/UK lineage (Variant VOC_202012) και 2 αφορούν τη μετάλλαξη B.1.351/South Africa (Variant 501.V2). Πίνακας 3: Απόλυτη και σχετική συχνότητα θετικών δειγμάτων για μετάλλαξη του SARS-CoV-2 ανά τύπο στελέχους από την έναρξη λειτουργίας του Εθνικού Δικτύου Γονιδιωματικής Επιτήρησης για τις μεταλλάξεις του SARS-CoV-2 μέχρι σήμερα.

Παράρτημα 1: Επιδημικές καμπύλες κρουσμάτων COVID-19 με βάση την δηλωθείσα διεύθυνση μόνιμης κατοικίας του κρούσματος ή τη διεύθυνση προσωρινής διαμονής για τους τουρίστες και άλλους προσωρινά διαμένοντες στην Ελλάδα. Συμπεριλαμβάνονται τόσο κρούσματα με ιστορικό ταξιδίου όσο και κρούσματα με πιθανή εγχώρια μετάδοση.

