ΕΟΔΥ: Στα όρια τους οι ΜΕΘ – Πάνω από 70 θάνατοι – Σταθερά υψηλά τα κρούσματα
Δείτε αναλυτικά
Ανακοινώθηκαν από τον Εθνικό Οργανισμό Δημόσιας Υγείας 6.196 νέα κρούσματα κορονοϊού στην Ελλάδα, 75 νέοι θάνατοι και 690 διασωληνωμένοι.
Δείτε αναλυτικά:
Τα στοιχεία που παρουσιάζονται αφορούν περιστατικά από την επιδημιολογική επιτήρηση της νόσου από το νέο κορωνοϊό (COVID19), με βάση τα δεδομένα που έχουν δηλωθεί στον ΕΟΔΥ και καταγραφεί μέχρι τις 01 Δεκεμβρίου 2021 (ώρα 15:00). Τα νέα εργαστηριακά επιβεβαιωμένα κρούσματα της νόσου που καταγράφηκαν τις τελευταίες 24 ώρες είναι 6.196, εκ των οποίων 3 εντοπίστηκαν κατόπιν ελέγχων στις πύλες εισόδου της χώρας. Ο συνολικός αριθμός των κρουσμάτων ανέρχεται σε 945.095 (ημερήσια μεταβολή +0.7%), εκ των οποίων 50.6% άνδρες. 1 Με βάση τα επιβεβαιωμένα κρούσματα των τελευταίων 7 ημερών, 94 θεωρούνται σχετιζόμενα με ταξίδι από το εξωτερικό και 2.769 είναι σχετιζόμενα με ήδη γνωστό κρούσμα. To για την επικράτεια βάσει των κρουσμάτων εκτιμάται σε 1.04 (95% ΔΕ: 0.96 – 1.12) Ημερήσια εξέλιξη της πανδημίας: Η ημερήσια κατανομή των επιβεβαιωμένων κρουσμάτων είναι η ακόλουθη (η γραμμή παριστάνει την συνολική, αθροιστική κατανομή των κρουσμάτων).

Ο αριθμός των ασθενών που νοσηλεύονται διασωληνωμένοι είναι 690 (61.0% άνδρες). Η διάμεση ηλικία τους είναι 64 έτη. To 79.9% έχει υποκείμενο νόσημα ή/και ηλικία 70 ετών και άνω. Μεταξύ των ασθενών που νοσηλεύονται διασωληνωμένοι, 550 (79.71%) είναι ανεμβολίαστοι ή μερικώς εμβολιασμένοι και 140 (20.29%) είναι πλήρως εμβολιασμένοι. Από την αρχή της πανδημίας έχουν εξέλθει από τις ΜΕΘ 3.530 ασθενείς. Οι εισαγωγές3 νέων ασθενών Covid-19 στα νοσοκομεία της επικράτειας είναι 507 (ημερήσια μεταβολή +28.68%). Ο μέσος όρος εισαγωγών του επταημέρου είναι 466 ασθενείς.Η διάμεση ηλικία των κρουσμάτων είναι 38 έτη (εύρος 0.2 έως 106 έτη), ενώ η διάμεση ηλικία των θανόντων είναι 78 έτη (εύρος 0.2 έως 106 έτη).

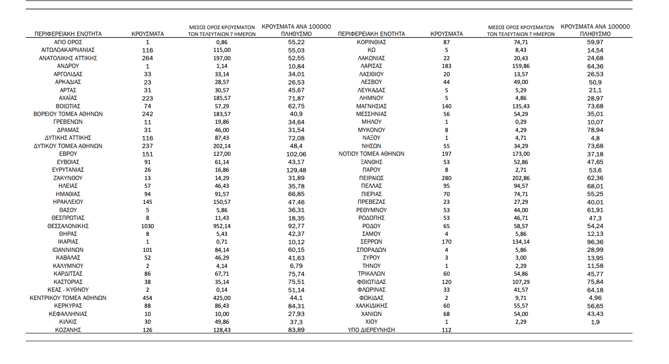
Κατανομή ανακοινωθέντων εγχώριων κρουσμάτων: Από το σύνολο των 6.196 νέων κρουσμάτων του νέου ιού στη χώρα 8 είναι εισαγόμενα εκ των οποίων 3 εντοπίστηκαν κατόπιν ελέγχων στις πύλες εισόδου της χώρας . Η κατανομή των 6.188 νέων εγχώριων κρουσμάτων ανά Περιφερειακή Ενότητα παρουσιάζεται στον κατωτέρω πίνακα.4 Πίνακας 2: Ημερήσιος αριθμός και κρούσματα ανά 100.000 πληθυσμού επιβεβαιωμένων εγχώριων κρουσμάτων COVID-19 ανά περιφερειακή ενότητα στις 01 Δεκεμβρίου 2021.
Δείγματα που έχουν ελεγχθεί: Από την 1η Ιανουαρίου 2020 μέχρι σήμερα, στα εργαστήρια που διενεργούν ελέγχους για τον νέο κορωνοϊό (SARS-CoV-2) και που δηλώνουν συστηματικά το σύνολο των δειγμάτων που ελέγχουν, έχουν συνολικά ελεγχθεί 7.510.520 κλινικά δείγματα ενώ από Μονάδες Υγείας και Κλιμάκια του ΕΟΔΥ που διενεργούν ελέγχους Rapid Ag έχουν ελεγχθεί 29.197.762 δείγματα. O μέσος όρος του επταημέρου είναι 368.175 δειγματοληπτικοί έλεγχοι. Αυτοδιαγνωστικοί έλεγχοι (Self-tests): Έως 30 Νοεμβρίου 2021, έχουν καταγραφεί ηλεκτρονικά 57.484.782 δηλώσεις αποτελέσματος αυτοδιαγνωστικού ελέγχου. Από τα 3.357.631 άτομα που προσήλθαν για επανέλεγχο, έχουν καταγραφεί 188.757 θετικά αποτελέσματα. Mαζικές Δειγματοληψίες ΕΟΔΥ: Στις 30 Νοεμβρίου 2021, πραγματοποιήθηκαν 175 δράσεις δειγματοληπτικών ελέγχων από τις Κινητές Ομάδες Υγείας (ΚΟΜΥ) του ΕΟΔΥ, στις οποίες διενεργήθηκαν 25.937 έλεγχοι Rapid Ag και ανευρέθηκαν 772 θετικά (2.98%).
Γεωγραφική διασπορά: Ο χάρτης αποτυπώνει τη γεωγραφική κατανομή των συνολικών κρουσμάτων COVID-19 (από την αρχή της επιδημίας) ανά Περιφερειακή Ενότητα της χώρας, με βάση την δηλωθείσα διεύθυνση μόνιμης κατοικίας του ασθενούς, ή τη διεύθυνση προσωρινής διαμονής για τους τουρίστες και άλλους προσωρινά διαμένοντες στην Ελλάδα. Συμπεριλαμβάνονται τόσο κρούσματα με ιστορικό ταξιδίου (“εισαγόμενα”) όσο και κρούσματα με πιθανή εγχώρια μετάδοση.
Συγκεντρωτικά στοιχεία την εβδομάδα αναφοράς 22 Νοεμβρίου 2021 – 28 Νοεμβρίου 2021 (2021-W47) Την εβδομάδα αναφοράς, το ποσοστό θετικότητας ήταν 1.74% σε σύνολο 2.583.605 εργαστηριακών ελέγχων (RT-PCR/Rapid-Ag) και 0.54% σε σύνολο 2.197.911 αυτοδιαγνωστικών ελέγχων. Στο σύνολο των ελέγχων, το ποσοστό θετικότητας ήταν 0.94%. Πίνακας 3: Ποσοστό θετικότητας στο σύνολο των ελέγχων ανά Περιφερειακή Ενότητα με δεδομένα από 22 Νοεμβρίου 2021 έως 28 Νοεμβρίου 2021 (2021-W47)

Παράρτημα 1: Επιδημικές καμπύλες κρουσμάτων COVID-19 με βάση την δηλωθείσα διεύθυνση μόνιμης κατοικίας του κρούσματος ή τη διεύθυνση προσωρινής διαμονής για τους τουρίστες και άλλους προσωρινά διαμένοντες στην Ελλάδα. Συμπεριλαμβάνονται τόσο κρούσματα με ιστορικό ταξιδίου όσο και κρούσματα με πιθανή εγχώρια μετάδοση.


