ΕΟΔΥ: Συνεχίζεται η αποκλιμάκωση στις ΜΕΘ – 16 θάνατοι – Πάνω από 400 κρούσματα
Δείτε αναλυτικά
Ανακοινώθηκαν από τον Εθνικό Οργανισμό Δημόσιας Υγείας 406 νέα κρούσματα κορονοϊού στην Ελλάδα, 16 νέοι θάνατοι και 277 διασωληνωμένοι.
Τα στοιχεία που παρουσιάζονται αφορούν περιστατικά από την επιδημιολογική επιτήρηση της νόσου από το νέο κορωνοϊό (COVID19), με βάση τα δεδομένα που έχουν δηλωθεί στον ΕΟΔΥ και καταγραφεί μέχρι τις 22 Ιουνίου 2021 (ώρα 15:00). Τα νέα εργαστηριακά επιβεβαιωμένα κρούσματα της νόσου που καταγράφηκαν τις τελευταίες 24 ώρες είναι 406, εκ των οποίων κανένα δεν εντοπίστηκε σε ελέγχους στις πύλες εισόδου της χώρας.
Ο συνολικός αριθμός των κρουσμάτων ανέρχεται σε 418.943 (ημερήσια μεταβολή +0.1%), εκ των οποίων 51.2% άνδρες. 1 Με βάση τα επιβεβαιωμένα κρούσματα των τελευταίων 7 ημερών, 32 θεωρούνται σχετιζόμενα με ταξίδι από το εξωτερικό και 614 είναι σχετιζόμενα με ήδη γνωστό κρούσμα. Ημερήσια εξέλιξη της πανδημίας: Η ημερήσια κατανομή των επιβεβαιωμένων κρουσμάτων είναι η ακόλουθη (η γραμμή παριστάνει την συνολική, αθροιστική κατανομή των κρουσμάτων).

Ο αριθμός των ασθενών που νοσηλεύονται διασωληνωμένοι είναι 277 (62.8% άνδρες). Η διάμεση ηλικία τους είναι 67 έτη. To 82.7% έχει υποκείμενο νόσημα ή/και ηλικία 70 ετών και άνω. Από την αρχή της πανδημίας έχουν εξέλθει από τις ΜΕΘ 2.619 ασθενείς. Οι εισαγωγές2 νέων ασθενών Covid-19 στα νοσοκομεία της επικράτειας είναι 59 (ημερήσια μεταβολή +22.92%). Ο μέσος όρος εισαγωγών του επταημέρου είναι 63 ασθενείς.Η διάμεση ηλικία των κρουσμάτων είναι 43 έτη (εύρος 0.2 έως 106 έτη), ενώ η διάμεση ηλικία των θανόντων είναι 78 έτη (εύρος 0.2 έως 106 έτη).

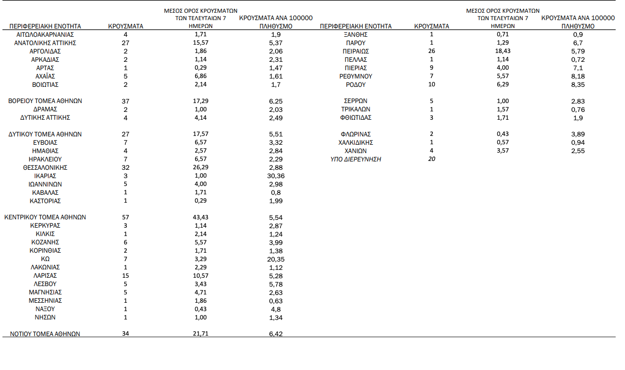
Κατανομή ανακοινωθέντων εγχώριων κρουσμάτων: Από το σύνολο των 406 νέων κρουσμάτων του νέου ιού στη χώρα 3 είναι εισαγόμενα εκ των οποίων κανένα δεν εντοπίστηκε σε ελέγχους στις πύλες εισόδου της χώρας Η κατανομή των 403 νέων εγχώριων κρουσμάτων ανά Περιφερειακή Ενότητα παρουσιάζεται στον κατωτέρω πίνακα.3 Πίνακας 2: Ημερήσιος αριθμός και κρούσματα ανά 100.000 πληθυσμού επιβεβαιωμένων εγχώριων κρουσμάτων COVID-19 ανά περιφερειακή ενότητα στις 22 Ιουνίου 2021

Δείγματα που έχουν ελεγχθεί: Από την 1η Ιανουαρίου 2020 μέχρι σήμερα, στα εργαστήρια που διενεργούν ελέγχους για τον νέο κορωνοϊό (SARS-CoV-2) και που δηλώνουν συστηματικά το σύνολο των δειγμάτων που ελέγχουν, έχουν συνολικά ελεγχθεί 5.326.072 κλινικά δείγματα ενώ από Μονάδες Υγείας και Κλιμάκια του ΕΟΔΥ που διενεργούν ελέγχους Rapid Ag έχουν ελεγχθεί 5.020.792 δείγματα. O μέσος όρος του επταημέρου είναι 31.039 δειγματοληπτικοί έλεγχοι. Αυτοδιαγνωστικοί έλεγχοι (Self-tests): Έως 21 Ιουνίου 2021, έχουν καταγραφεί ηλεκτρονικά 22.453.750 δηλώσεις αποτελέσματος αυτοδιαγνωστικού ελέγχου, ενώ 420.433 άτομα προσήλθαν για επανέλεγχο. Mαζικές Δειγματοληψίες ΕΟΔΥ: Στις 21 Ιουνίου 2021, πραγματοποιήθηκαν 61 δράσεις δειγματοληπτικών ελέγχων από τις Κινητές Ομάδες Υγείας (ΚΟΜΥ) του ΕΟΔΥ, στις οποίες διενεργήθηκαν 4.936 έλεγχοι Rapid Ag και ανευρέθηκαν 58 θετικά (1,18%).

Γεωγραφική διασπορά: Ο χάρτης αποτυπώνει τη γεωγραφική κατανομή των συνολικών κρουσμάτων COVID-19 (από την αρχή της επιδημίας) ανά Περιφερειακή Ενότητα της χώρας, με βάση την δηλωθείσα διεύθυνση μόνιμης κατοικίας του ασθενούς, ή τη διεύθυνση προσωρινής διαμονής για τους τουρίστες και άλλους προσωρινά διαμένοντες στην Ελλάδα. Συμπεριλαμβάνονται τόσο κρούσματα με ιστορικό ταξιδίου (“εισαγόμενα”) όσο και κρούσματα με πιθανή εγχώρια μετάδοση.

Παράρτημα 1: Επιδημικές καμπύλες κρουσμάτων COVID-19 με βάση την δηλωθείσα διεύθυνση μόνιμης κατοικίας του κρούσματος ή τη διεύθυνση προσωρινής διαμονής για τους τουρίστες και άλλους προσωρινά διαμένοντες στην Ελλάδα. Συμπεριλαμβάνονται τόσο κρούσματα με ιστορικό ταξιδίου όσο και κρούσματα με πιθανή εγχώρια μετάδοση.

Παράρτημα 2: ΕΘΝΙΚΟ ΔΙΚΤΥΟ ΕΠΙΔΗΜΙΟΛΟΓΙΑΣ ΛΥΜΑΤΩΝ ΕΟΔΥ Ανακοινώνονται τα αποτελέσματα των εργαστηριακών ελέγχων του Εθνικού Δικτύου Επιδημιολογίας Λυμάτων για την επιδημιολογική επιτήρηση του ιού SARS-CoV-2 σε αστικά λύματα, το οποίο λειτουργεί υπό το συντονισμό του ΕΟΔΥ. Τα αποτελέσματα αφορούν στην περίοδο από 14 έως 18 Ιουνίου 2021 και όχι σε ολόκληρη την εβδομάδα 14 ως 20 Ιουνίου λόγω της αργίας του Αγίου Πνεύματος. Τα δείγματα προέρχονται από την Περιφέρεια Αττικής και τις πόλεις της Θεσσαλονίκης, της Λάρισας, του Βόλου, του Ηρακλείου, των Χανίων, του Ρεθύμνου, της Πάτρας, της Ξάνθης και των Ιωαννίνων. Τα δείγματα λαμβάνονται από τις εισόδους των κατά τόπους Μονάδων Επεξεργασίας Λυμάτων (ΜΕΛ) και αντιστοιχούν στον πληθυσμό που εξυπηρετείται από αυτές. Στον Άγιο Νικόλαο Λασιθίου και στην Αλεξανδρούπολη εξακολουθεί να μην είναι δυνατή η δειγματοληψία λόγω βλάβης των δειγματοληπτών και συνεπώς δεν μπορούν να υπάρξουν αποτελέσματα μέχρι την επιδιόρθωσή τους. Πίνακας 1:Ποσοστιαία μεταβολή στη μέση συγκέντρωση του ιικού φορτίου του SARS-CoV-2 στα αστικά λύματα ανά 100.000 κατοίκους την περίοδο 14-18 Ιουνίου 2021 σε σχέση με την εβδομάδα 7-13 Ιουνίου 2021.

Συμπεράσματα: Την περίοδο 14-18 Ιουνίου 2021, παρατηρήθηκαν πτωτικές τάσεις, σε σχέση με την εβδομάδα 7-13 Ιουνίου 2021, στο ιικό φορτίο του SARS-CoV-2 στα αστικά λύματα των 5 από τις 10 (5/10) περιοχές που ελέγχθηκαν από το Εθνικό Δίκτυο Επιδημιολογίας Λυμάτων του ΕΟΔΥ. Καθαρά πτωτικές μεταβολές παρατηρήθηκαν στη Λάρισα (-50%), στην Ξάνθη (-45%) και στην Περιφέρεια Αττικής (-34%), ενώ οριακές ήταν οι μειώσεις στη Θεσσαλονίκη (-27%) και στα Ιωάννινα (-27%). Οριακή αύξηση παρατηρήθηκε στο ιικό φορτίο των αστικών λυμάτων στο Βόλο (+14%), με τα επίπεδα αυτού να παραμένουν σταθερά χαμηλά. Μείωση παρουσίασαν οι μετρήσεις της μέσης συγκέντρωσης του ιικού φορτίου των αστικών λυμάτων στο Ηράκλειο, στα Χανιά και στο Ρέθυμνο. Οι μεταβολές αυτές όμως δεν αξιολογούνται ποσοτικά λόγω των διακυμάνσεων και των χαμηλών τιμών του ιικού φορτίου. Στην Πάτρα το ιικό φορτίο των αστικών λυμάτων ήταν πολύ χαμηλό και κάτω από το όριο ποσοτικοποίησης της μεθόδου. Παρακάτω δίνονται περισσότερες διευκρινίσεις σχετικά με τα αποτελέσματα της περιόδου 14-18 Ιουνίου 2021, ανά περιοχή: Περιφέρεια Αττικής: Την περίοδο, 14-18/6/21, στην Περιφέρεια Αττικής, συνεχίστηκε η πτωτική πορεία που παρουσιάζει το ιικό φορτίο, με σημαντική μεταβολή (-34%) του εβδομαδιαίου μέσου όρου σε σχέση με την εβδομάδα 7-13/6/21. Θεσσαλονίκη: Την περίοδο 14-18/6/21, στη Θεσσαλονίκη, παρατηρήθηκε εκ νέου μικρή μείωση (-27%) στο ιικό φορτίο των αστικών λυμάτων σε σχέση με την εβδομάδα 7-13/6/21. Την τελευταία εβδομάδα το ιικό φορτίο στην πόλη κυμάνθηκε σε χαμηλά επίπεδα. Λάρισα: Την περίοδο 14-18/6/21, παρατηρήθηκε μείωση (-50%) των επιπέδων του ιικού φορτίου στα αστικά λύματα της Λάρισας σε σχέση με την εβδομάδα 7-13/6/21. Βόλος: Την περίοδο 14-18/6/21, τα επίπεδα του ιικού φορτίου στον Βόλο παρέμειναν σταθερά χαμηλά, χωρίς να παρατηρείται αξιοσημείωτη μεταβολή (+14%) σε σχέση με την εβδομάδα 7-13/6/21. Ηράκλειο: Την περίοδο 14-18/6/21, στο Ηράκλειο, παρατηρήθηκε μείωση στην τιμή του ιικού φορτίου των αστικών λυμάτων, το οποίο παραμένει σε χαμηλά επίπεδα. Χανιά: Το χρονικό διάστημα 14-18/6/21, στα Χανιά, παρατηρήθηκε μειώση στην τιμή του ιικού φορτίου των αστικών λυμάτων, το οποίο παραμένει σε χαμηλά επίπεδα. Ρέθυμνο: Την εβδομάδα 14-18/6/21, στο Ρέθυμνο, συνεχίστηκε η μείωση στο ιικό φορτίο των αστικών λυμάτων, το οποίο παραμένει σε
χαμηλά επίπεδα. Πάτρα: Την περίοδο 14-18/6/21, το ιικό φορτίο στα αστικά λύματα της Πάτρας παρέμεινε πολύ χαμηλό και κάτω από το όριο ποσοτικοποίησης των εργαστηριακών μεθόδων που χρησιμοποιούνται. Ξάνθη: Την περίοδο 14-18/6/21, παρατηρήθηκε μείωση (-45%) των επίπεδων του ιικού φορτίου στα αστικά λύματα της Ξάνθης σε σχέση με την εβδομάδα 7-13/6/21. Ιωάννινα: Την περίοδο 14-18/6/21, στα Ιωάννινα, το ιικό φορτίο των αστικών λυμάτων παρουσίασε μικρή μείωση (-27%), παραμένοντας σταθερά χαμηλό. Σημειώνεται ότι υπήρξε αριθμός μετρήσεων χωρίς ανιχνεύσιμο φορτίο, δηλαδή με ιικό φορτίο κάτω από το όριο ποσοτικοποίησης της μεθόδου. Σημ1: Οι παραπάνω τάσεις έχουν υπολογιστεί με βάση τις τιμές του ιικού φορτίου, κανονικοποιημένες ως προς τον ισοδύναμο πληθυσμό των περιοχών. O ισοδύναμος πληθυσμός υπολογίζεται με βάση το ρυπαντικό φορτίο που καταλήγει στην εκάστοτε εγκατάσταση επεξεργασίας λυμάτων σε διάρκεια 24 ωρών και τυπικών τιμών παραγωγής ρυπαντικού φορτίου ανά άτομο ανά ημέρα. Σημ2: Τα εργαστήρια που συμμετέχουν στο δίκτυο είναι: Εργαστήριο Αναλυτικής Χημείας του Εθνικού και Καποδιστριακού Πανεπιστημίου Αθηνών, Διεπιστημονική Εργαστηριακή Ομάδα Επιδημιολογίας Λυμάτων του Αριστοτελείου Πανεπιστημίου Θεσσαλονίκης, Περιφερειακό Εργαστήριο Δημόσιας Υγείας Θεσσαλίας, Περιφερειακό Εργαστήριο Δημόσιας Υγείας Κρήτης, Εργαστήριο Υγιεινής της Ιατρικής Σχολής του Πανεπιστημίου Πατρών, Εργαστήριο Υγιεινής και Επιδημιολογίας του Τμήματος Ιατρικής του Πανεπιστημίου Ιωαννίνων.

