ΕΟΔΥ: Yψηλά τα κρούσματα και σήμερα – 42 θάνατοι – Ανησυχία για τις ΜΕΘ
Δείτε αναλυτικά
Ο Εθνικός Οργανισμός Δημόσιας Υγείας, ανακοίνωσε πριν λίγο 3.273 νέα κρούσματα, 42 νέους θανάτους και 332 διασωληνωμένους, κατά τη διάρκεια του τελευταίου 24ωρου.
Δείτε αναλυτικά την ανακοίνωση:
Τα στοιχεία που παρουσιάζονται αφορούν περιστατικά από την επιδημιολογική επιτήρηση της νόσου από το νέο κορωνοϊό (COVID19), με βάση τα δεδομένα που έχουν δηλωθεί στον ΕΟΔΥ και καταγραφεί μέχρι τις 25 Αυγούστου 2021 (ώρα 15:00). Τα νέα εργαστηριακά επιβεβαιωμένα κρούσματα της νόσου που καταγράφηκαν τις τελευταίες 24 ώρες είναι 3.273, εκ των οποίων 28 εντοπίστηκαν κατόπιν ελέγχων στις πύλες εισόδου της χώρας.
Ο συνολικός αριθμός των κρουσμάτων ανέρχεται σε 570.077 (ημερήσια μεταβολή +0.6%), εκ των οποίων 51.1% άνδρες. 1 Με βάση τα επιβεβαιωμένα κρούσματα των τελευταίων 7 ημερών, 192 θεωρούνται σχετιζόμενα με ταξίδι από το εξωτερικό και 1.912 είναι σχετιζόμενα με ήδη γνωστό κρούσμα. To για την επικράτεια βάσει των κρουσμάτων εκτιμάται σε 1.05 (95% ΔΕ: 0.67 – 1.42) Ημερήσια εξέλιξη της πανδημίας: Η ημερήσια κατανομή των επιβεβαιωμένων κρουσμάτων είναι η ακόλουθη (η γραμμή παριστάνει την συνολική, αθροιστική κατανομή των κρουσμάτων)

Ο αριθμός των ασθενών που νοσηλεύονται διασωληνωμένοι είναι 332 (58.4% άνδρες). Η διάμεση ηλικία τους είναι 65 έτη. To 84.3% έχει υποκείμενο νόσημα ή/και ηλικία 70 ετών και άνω. Από την αρχή της πανδημίας έχουν εξέλθει από τις ΜΕΘ 2.936 ασθενείς. Οι εισαγωγές3 νέων ασθενών Covid-19 στα νοσοκομεία της επικράτειας είναι 259 (ημερήσια μεταβολή -11.6%). Ο μέσος όρος εισαγωγών του επταημέρου είναι 267 ασθενείς.Η διάμεση ηλικία των κρουσμάτων είναι 39 έτη (εύρος 0.2 έως 106 έτη), ενώ η διάμεση ηλικία των θανόντων είναι 78 έτη (εύρος 0.2 έως 106 έτη).

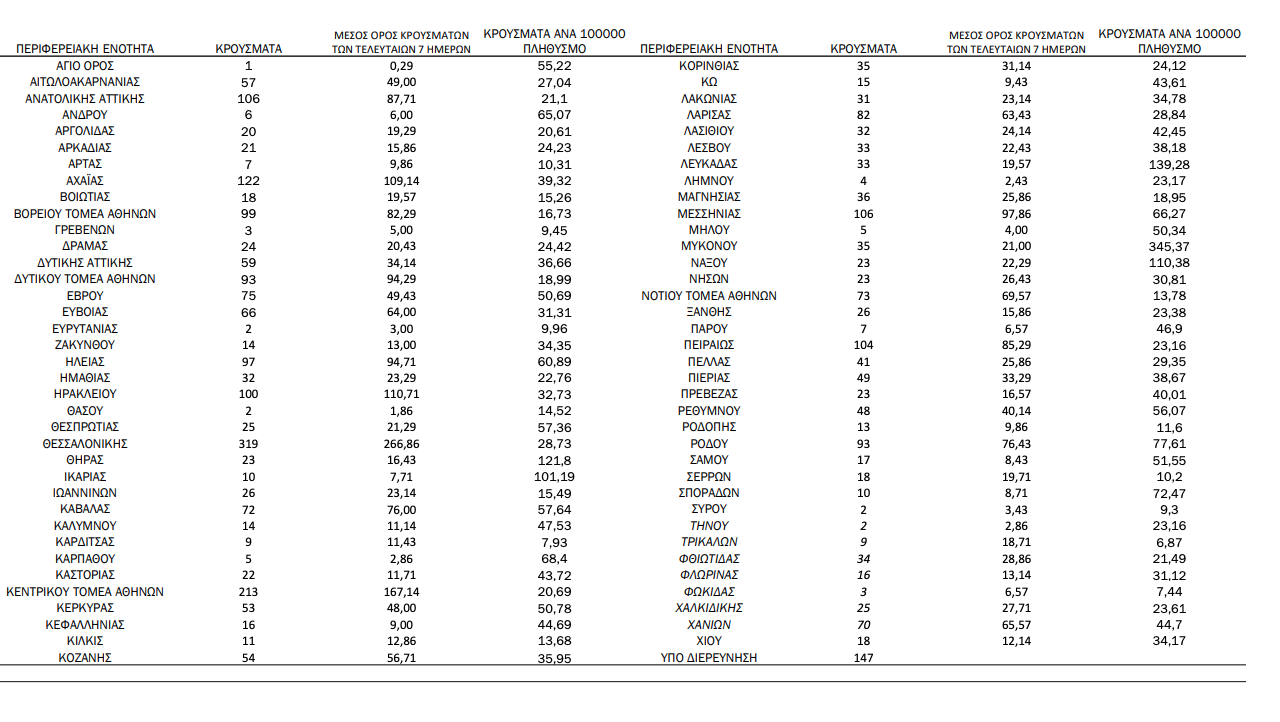
Κατανομή ανακοινωθέντων εγχώριων κρουσμάτων: Από το σύνολο των 3.273 νέων κρουσμάτων του νέου ιού στη χώρα 36 είναι εισαγόμενα εκ των οποίων 28 εντοπίστηκαν κατόπιν ελέγχων στις πύλες εισόδου της χώρας . Η κατανομή των 3.237 νέων εγχώριων κρουσμάτων ανά Περιφερειακή Ενότητα παρουσιάζεται στον κατωτέρω πίνακα.4 Πίνακας 2: Ημερήσιος αριθμός και κρούσματα ανά 100.000 πληθυσμού επιβεβαιωμένων εγχώριων κρουσμάτων COVID-19 ανά περιφερειακή ενότητα στις 25 Αυγούστου 2021.

Δείγματα που έχουν ελεγχθεί: Από την 1η Ιανουαρίου 2020 μέχρι σήμερα, στα εργαστήρια που διενεργούν ελέγχους για τον νέο κορωνοϊό (SARS-CoV-2) και που δηλώνουν συστηματικά το σύνολο των δειγμάτων που ελέγχουν, έχουν συνολικά ελεγχθεί 6.133.835 κλινικά δείγματα ενώ από Μονάδες Υγείας και Κλιμάκια του ΕΟΔΥ που διενεργούν ελέγχους Rapid Ag έχουν ελεγχθεί 8.859.569 δείγματα. O μέσος όρος του επταημέρου είναι 91.991 δειγματοληπτικοί έλεγχοι. Αυτοδιαγνωστικοί έλεγχοι (Self-tests): Έως 24 Αυγούστου 2021, έχουν καταγραφεί ηλεκτρονικά 32.403.281 δηλώσεις αποτελέσματος αυτοδιαγνωστικού ελέγχου. Από τα 1.094.215 άτομα που προσήλθαν για επανέλεγχο, έχουν καταγραφεί 85.424 θετικά αποτελέσματα. Mαζικές Δειγματοληψίες ΕΟΔΥ: Στις 24 Αυγούστου 2021, πραγματοποιήθηκαν 140 δράσεις δειγματοληπτικών ελέγχων από τις Κινητές Ομάδες Υγείας (ΚΟΜΥ) του ΕΟΔΥ, στις οποίες διενεργήθηκαν 30.748 έλεγχοι Rapid Ag και ανευρέθηκαν 711 θετικά (2,31%).

Γεωγραφική διασπορά: Ο χάρτης αποτυπώνει τη γεωγραφική κατανομή των συνολικών κρουσμάτων COVID-19 (από την αρχή της επιδημίας) ανά Περιφερειακή Ενότητα της χώρας, με βάση την δηλωθείσα διεύθυνση μόνιμης κατοικίας του ασθενούς, ή τη διεύθυνση προσωρινής διαμονής για τους τουρίστες και άλλους προσωρινά διαμένοντες στην Ελλάδα. Συμπεριλαμβάνονται τόσο κρούσματα με ιστορικό ταξιδίου (“εισαγόμενα”) όσο και κρούσματα με πιθανή εγχώρια μετάδοση.

Συγκεντρωτικά στοιχεία της εβδομάδας 16 Αυγούστου 2021 – 22 Αυγούστου 2021 (2021-W33) Την εβδομάδα 16 Αυγούστου 2021 – 22 Αυγούστου 2021 (2021-W33) το ποσοστό θετικότητας ήταν 3.51% σε σύνολο 626.108 εργαστηριακών ελέγχων (RT-PCR/Rapid-Ag) και 1.19% σε σύνολο 493.947 αυτοδιαγνωστικών ελέγχων. Στο σύνολο των ελέγχων, το ποσοστό θετικότητας ήταν 2.02%. Πίνακας 3: Ποσοστό θετικότητας στο σύνολο των ελέγχων ανά Περιφερειακή Ενότητα με δεδομένα από 16 Αυγούστου 2021 έως 22 Αυγούστου 2021 (2021-W33)

Παράρτημα 1: Επιδημικές καμπύλες κρουσμάτων COVID-19 με βάση την δηλωθείσα διεύθυνση μόνιμης κατοικίας του κρούσματος ή τη διεύθυνση προσωρινής διαμονής για τους τουρίστες και άλλους προσωρινά διαμένοντες στην Ελλάδα. Συμπεριλαμβάνονται τόσο κρούσματα με ιστορικό ταξιδίου όσο και κρούσματα με πιθανή εγχώρια μετάδοση.


