Διακύμανση στο κόστος των ηλιακών θερμοσιφώνων, επέφερε η ανακοίνωση επιδότησης
Σύμφωνα με έρευνα παρατηρούνται σημαντικές αυξήσεις στα προϊόντα
Η Ένωση Εργαζομένων Καταναλωτών Ελλάδας, πραγματοποίησε δειγματοληπτική Έρευνα, χρησιμοποιώντας δείγμα εξήντα (60) προϊόντων και πενήντα έξι (56) διαφορετικών ηλεκτρονικών καταστημάτων, με σκοπό να διαπιστωθεί εάν μετά την έναρξη της επιδότησης των ηλιακών θερμοσιφώνων θα εντοπιστούν αυξήσεις στις τιμές των προϊόντων.
Τα ηλεκτρονικά καταστήματα που αποτέλεσαν το δείγμα της έρευνας, επιλέχθηκαν τυχαία και εκπροσωπούν εξήντα (60) προϊόντα, ώστε τα συμπεράσματα να εξάγονται με μεγαλύτερη αντικειμενικότητα.
Το πρώτο σκέλος της Έρευνας, έλαβε χώρα το χρονικό διάστημα από 10/10/2022 έως 10/11/2022.
Κατά το δεύτερο σκέλος της Έρευνας, το οποίο έλαβε χώρα από 10/05/2023 έως 11/05/2023, επανεξετάσαμε τα ηλεκτρονικά καταστήματα για να διαπιστώσουμε εάν υπάρχουν και σε τί ποσοστό τροποποιήσεις στις τιμές των προϊόντων.
Η έρευνα ολοκληρώθηκε στις 18/10/2023 κατά την οποία επανεξετάσαμε τα ηλεκτρονικά καταστήματα για να εξάγουμε και τα οριστικά αποτελέσματα.
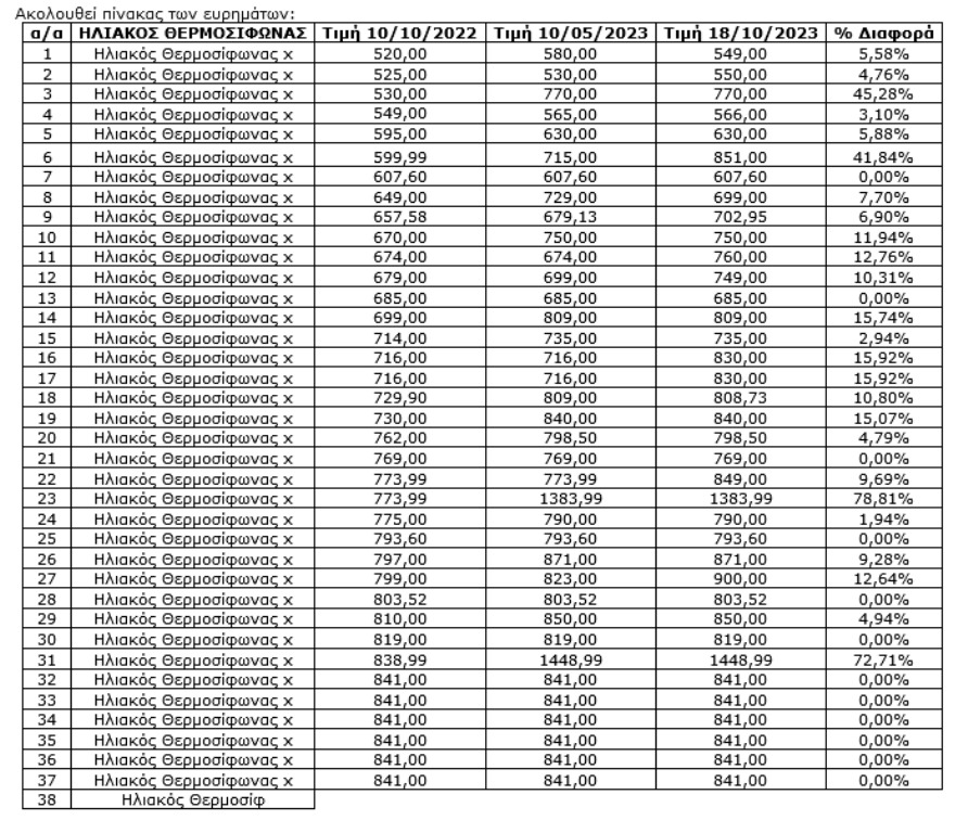
Παραθέτουμε τα σημαντικότερα στατιστικά αποτελέσματα που προέκυψαν:
- Στις 10/05/2023 παρατηρείται αύξηση τιμής στο 50% των προϊόντων ενώ στις 18/10/2023 παρατηρείται αύξηση τιμής στο 61,66% των προϊόντων
- H πιο υψηλή ποσοστιαία αύξηση αγγίζει τα 78,81% ενώ η μικρότερη είναι 1,94%
- Στις 10/05/2023 Ο μέσος όρος αύξησης των προϊόντων που παρατηρήθηκε ανοδική τιμή είναι 14,09% ενώ στις 18/10/2023 ο μέσος όρος αύξησης ανέρχεται σε 17,82%

