ΕΟΔΥ: Δραματική έκρηξη κρουσμάτων – Πάνω από 4.000
219 διασωληνωμένοι και 19 θάνατοι
Ο Εθνικός Οργανισμός Δημόσιας Υγείας ανακοίνωσε πριν λίγο 4.181 νέα κρούσματα, 19 νέους θανάτους και 219 διασωληνωμένους το τελευταίο 24ωρο.
Τα στοιχεία που παρουσιάζονται αφορούν περιστατικά από την επιδημιολογική επιτήρηση της νόσου από το νέο κορωνοϊό (COVID19), με βάση τα δεδομένα που έχουν δηλωθεί στον ΕΟΔΥ και καταγραφεί μέχρι τις 10 Αυγούστου 2021 (ώρα 15:00). Τα νέα εργαστηριακά επιβεβαιωμένα κρούσματα της νόσου που καταγράφηκαν τις τελευταίες 24 ώρες είναι 4.181, εκ των οποίων 11 εντοπίστηκαν κατόπιν ελέγχων στις πύλες εισόδου της χώρας.
Ο συνολικός αριθμός των κρουσμάτων ανέρχεται σε 521.399 (ημερήσια μεταβολή +0.9%), εκ των οποίων 51.2% άνδρες. 1 2 Με βάση τα επιβεβαιωμένα κρούσματα των τελευταίων 7 ημερών, 116 θεωρούνται σχετιζόμενα με ταξίδι από το εξωτερικό και 2.489 είναι σχετιζόμενα με ήδη γνωστό κρούσμα. Ημερήσια εξέλιξη της πανδημίας: Η ημερήσια κατανομή των επιβεβαιωμένων κρουσμάτων είναι η ακόλουθη (η γραμμή παριστάνει την συνολική, αθροιστική κατανομή των κρουσμάτων)

Ο αριθμός των ασθενών που νοσηλεύονται διασωληνωμένοι είναι 219 (60.7% άνδρες). Η διάμεση ηλικία τους είναι 65 έτη. To 84.5% έχει υποκείμενο νόσημα ή/και ηλικία 70 ετών και άνω. Από την αρχή της πανδημίας έχουν εξέλθει από τις ΜΕΘ 2.848 ασθενείς. Οι εισαγωγές4 νέων ασθενών Covid-19 στα νοσοκομεία της επικράτειας είναι 211 (ημερήσια μεταβολή -0.47%). Ο μέσος όρος εισαγωγών του επταημέρου είναι 206 ασθενείς.Η διάμεση ηλικία των κρουσμάτων είναι 40 έτη (εύρος 0.2 έως 106 έτη), ενώ η διάμεση ηλικία των θανόντων είναι 78 έτη (εύρος 0.2 έως 106 έτη).

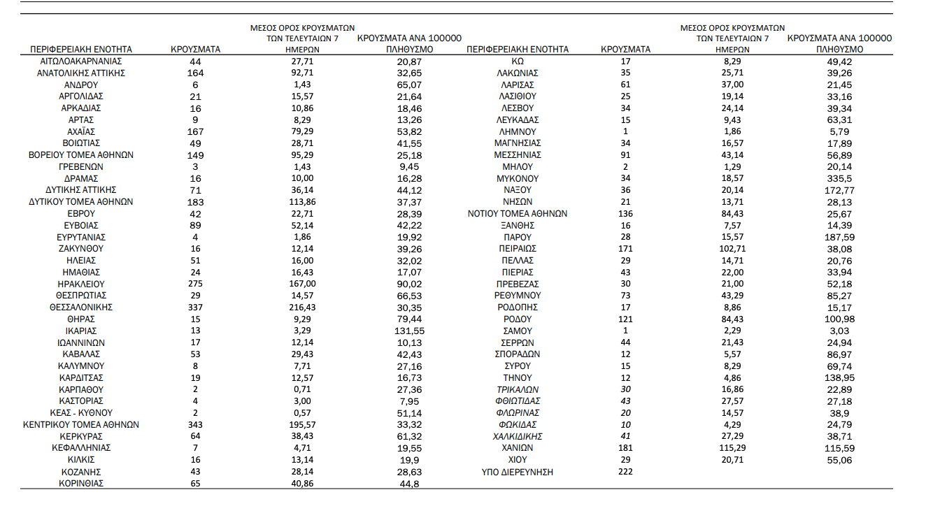
Κατανομή ανακοινωθέντων εγχώριων κρουσμάτων: Από το σύνολο των 4.181 κρουσμάτων του νέου ιού στη χώρα 15 είναι εισαγόμενα εκ των οποίων 11 εντοπίστηκαν κατόπιν ελέγχων στις πύλες εισόδου της χώρας. Η κατανομή των 4.166 νέων εγχώριων κρουσμάτων ανά Περιφερειακή Ενότητα παρουσιάζεται στον κατωτέρω πίνακα.5 Πίνακας 2: Ημερήσιος αριθμός και κρούσματα ανά 100.000 πληθυσμού επιβεβαιωμένων εγχώριων κρουσμάτων COVID-19 ανά περιφερειακή ενότητα στις 10 Αυγούστου 2021
Δείγματα που έχουν ελεγχθεί: Από την 1η Ιανουαρίου 2020 μέχρι σήμερα, στα εργαστήρια που διενεργούν ελέγχους για τον νέο κορωνοϊό (SARS-CoV-2) και που δηλώνουν συστηματικά το σύνολο των δειγμάτων που ελέγχουν, έχουν συνολικά ελεγχθεί 5.929.425 κλινικά δείγματα ενώ από Μονάδες Υγείας και Κλιμάκια του ΕΟΔΥ που διενεργούν ελέγχους Rapid Ag έχουν ελεγχθεί 7.718.378 δείγματα. O μέσος όρος του επταημέρου είναι 88.937 δειγματοληπτικοί έλεγχοι. Αυτοδιαγνωστικοί έλεγχοι (Self-tests): Έως 09 Αυγούστου 2021, έχουν καταγραφεί ηλεκτρονικά 31.247.841 δηλώσεις αποτελέσματος αυτοδιαγνωστικού ελέγχου, ενώ 930.795 άτομα προσήλθαν για επανέλεγχο. Mαζικές Δειγματοληψίες ΕΟΔΥ: Στις 09 Αυγούστου 2021, πραγματοποιήθηκαν 126 δράσεις δειγματοληπτικών ελέγχων από τις Κινητές Ομάδες Υγείας (ΚΟΜΥ) του ΕΟΔΥ, στις οποίες διενεργήθηκαν 26.869 έλεγχοι Rapid Ag και ανευρέθηκαν 917 θετικά (3,41%)

Γεωγραφική διασπορά: Ο χάρτης αποτυπώνει τη γεωγραφική κατανομή των συνολικών κρουσμάτων COVID-19 (από την αρχή της επιδημίας) ανά Περιφερειακή Ενότητα της χώρας, με βάση την δηλωθείσα διεύθυνση μόνιμης κατοικίας του ασθενούς, ή τη διεύθυνση προσωρινής διαμονής για τους τουρίστες και άλλους προσωρινά διαμένοντες στην Ελλάδα. Συμπεριλαμβάνονται τόσο κρούσματα με ιστορικό ταξιδίου (“εισαγόμενα”) όσο και κρούσματα με πιθανή εγχώρια μετάδοση.

Παράρτημα 1: Επιδημικές καμπύλες κρουσμάτων COVID-19 με βάση την δηλωθείσα διεύθυνση μόνιμης κατοικίας του κρούσματος ή τη διεύθυνση προσωρινής διαμονής για τους τουρίστες και άλλους προσωρινά διαμένοντες στην Ελλάδα. Συμπεριλαμβάνονται τόσο κρούσματα με ιστορικό ταξιδίου όσο και κρούσματα με πιθανή εγχώρια μετάδοση.

Ανακοινώνονται τα αποτελέσματα των εργαστηριακών ελέγχων του Εθνικού Δικτύου Επιδημιολογίας Λυμάτων για την επιδημιολογική επιτήρηση του ιού SARS-CoV-2 σε αστικά λύματα, το οποίο λειτουργεί υπό το συντονισμό του ΕΟΔΥ. Τα δείγματα προέρχονται από την Περιφέρεια Αττικής και τις πόλεις της Θεσσαλονίκης, της Λάρισας, του Βόλου, του Ηρακλείου, των Χανίων, του Ρεθύμνου, του Αγίου Νικολάου Λασιθίου, της Πάτρας, της Ξάνθης, της Αλεξανδρούπολης και των Ιωαννίνων. Τα δείγματα λαμβάνονται από τις εισόδους των κατά τόπους Μονάδων Επεξεργασίας Λυμάτων (ΜΕΛ) και αντιστοιχούν στον πληθυσμό που εξυπηρετείται από αυτές. Πίνακας 1: Ποσοστιαία μεταβολή στη μέση συγκέντρωση του ιικού φορτίου του SARS-CoV-2 στα αστικά λύματα ανά 100.000 κατοίκους την εβδομάδα 2-8 Αυγούστου 2021 σε σχέση με την εβδομάδα 26 Ιουλίου – 1 Αυγούστου 2021.
Συμπεράσματα: Την εβδομάδα 2 έως 8 Αυγούστου 2021, παρατηρήθηκαν πτωτικές τάσεις, σε σχέση με την εβδομάδα 26 Ιουλίου έως 1 Αυγούστου 2021, στο μέσο εβδομαδιαίο ιικό φορτίο του SARS-CoV-2 στα αστικά λύματα των επτά από τις δώδεκα (7/12) περιοχές που ελέγχθηκαν από το Εθνικό Δίκτυο Επιδημιολογίας Λυμάτων του ΕΟΔΥ. Καθαρά πτωτικές μεταβολές παρατηρήθηκαν στη Λάρισα (-38%), στο Βόλο (-48%), στην Ξάνθη (-55%) και στα Ιωάννινα (-60%), ενώ οριακές ήταν οι μειώσεις στα Χανιά (-18%), στην Αλεξανδρούπολη (-19%) και στη Θεσσαλονίκη (-26%). Αντίθετα, σημαντικά αυξητικές μεταβολές παρατηρήθηκαν σε τρεις από τις δώδεκα (3/12) περιοχές του Εθνικού Δικτύου Επιδημιολογίας Λυμάτων του ΕΟΔΥ και συγκεκριμένα στην Περιφέρεια Αττικής (+60%), στο Ρέθυμνο (+95%) και στον Άγιο Νικόλαο (+139%). Σταθερό παρέμεινε το μέσο εβδομαδιαίο ιικό φορτίο στο Ηράκλειο (+3%). Στην Πάτρα, ανιχνεύθηκε ιικό φορτίο στα αστικά λύματα της πόλης, αλλά η ποσοστιαία εβδομαδιαία μεταβολή σε σχέση με την προηγούμενη εβδομάδα δεν μπορεί να υπολογιστεί καθώς δεν είχε ανιχνευθεί ιικό φορτίο στα αστικά λύματα την προηγούμενη εβδομάδα. Παρακάτω δίνονται περισσότερες διευκρινίσεις σχετικά με τα αποτελέσματα της εβδομάδας 2 έως 8 Αυγούστου 2021: Περιφέρεια Αττικής: Την τελευταία εβδομάδα, 02-08/08/21, το μέσο εβδομαδιαίο ιικό φορτίο στα αστικά λύματα της Περιφέρειας Αττικής παρουσίασε αυξητικές τάσεις, με στατιστικά σημαντική μεταβολή (+60%) του εβδομαδιαίου μέσου όρου σε σχέση με την προηγούμενη εβδομάδα, 26/07-01/08/21.
Θεσσαλονίκη: Την τελευταία εβδομάδα, 02-08/08/21, στη Θεσσαλονίκη, το ιικό φορτίο των αστικών λυμάτων παρουσίασε οριακή μείωση (-26%) σε σχέση με την προηγούμενη εβδομάδα 26/07-01/08/21. Σημειώνεται ότι και την εβδομάδα 02-08/08/21 τα δείγματα αφορούν στο διάστημα 02-05/08/21 και όχι σε ολόκληρη την εβδομάδα 02-08/08/21.
Λάρισα: Την τελευταία εβδομάδα, 02-08/08/21, στην Λάρισα, παρατηρήθηκε μείωση (-38%) στο μέσο εβδομαδιαίο ιικό φορτίο των αστικών λυμάτων σε σχέση με την εβδομάδα 26/07-01/08/21. Βόλος: Την τελευταία εβδομάδα, 02-08/08/21, στο Βόλο, παρατηρήθηκε μείωση (-48%) στο μέσο εβδομαδιαίο ιικό φορτίο των αστικών λυμάτων σε σχέση με την εβδομάδα 26/07-01/08/21.
Ηράκλειο: Την τελευταία εβδομάδα, 02-08/08/21, στην πόλη του Ηρακλείου, δεν σημειώθηκε αξιόλογη μεταβολή (+3%) στο μέσο εβδομαδιαίο ιικό φορτίο των αστικών λυμάτων σε σχέση με την εβδομάδα 26/07- 01/08/21.
Χανιά: Την τελευταία εβδομάδα, 02-08/08/21, στην πόλη των Χανίων, καταγράφηκε οριακή μείωση (- 18%), στο μέσο εβδομαδιαίο ιικό φορτίο των αστικών λυμάτων σε σύγκριση με την εβδομάδα 26/07- 01/08/21.
Ρέθυμνο: Την τελευταία εβδομάδα, 02-08/08/21, στην πόλη του Ρεθύμνου, συνεχίσθηκε η αυξητική τάση (+95%) στο μέσο εβδομαδιαίο ιικό φορτίο των αστικών λυμάτων σε σύγκριση με την εβδομάδα 26/07- 01/08/21.
Άγιος Νικόλαος: Την τελευταία εβδομάδα, 02-08/08/21, στην πόλη του Αγίου Νικολάου, συνεχίσθηκε η αυξητική τάση (+139%) στο μέσο εβδομαδιαίο ιικό φορτίο των αστικών λυμάτων σε σύγκριση με την εβδομάδα 26/07-01/08/21.
Πάτρα: Την τελευταία εβδομάδα, 02-08/08/21, στην Πάτρα ανιχνεύθηκε ιικό φορτίο στα αστικά λύματα της πόλης, δηλαδή τα επίπεδα του ιικού φορτίου βρίσκονταν πάνω από το όριο ποσοτικοποίησης της μεθόδου, σε αντίθεση με την προηγούμενη εβδομάδα, 26/07-01/08/21, οπότε το ιικό φορτίο δεν ήταν ανιχνεύσιμο, δηλαδή τα επίπεδά του ήταν κάτω από το όριο ποσοτικοποίησης της μεθόδου.
Ξάνθη: Την τελευταία εβδομάδα, 02-08/08/21, στην Ξάνθη παρατηρήθηκε μείωση (-55%) στο ιικό φορτίο των αστικών λυμάτων σε σχέση με την εβδομάδα 26/07-01/08/21.
Αλεξανδρούπολη: Την τελευταία εβδομάδα, 02-08/08/21, στην Αλεξανδρούπολη παρατηρήθηκε μικρή μείωση (-19%) στο ιικό φορτίο των αστικών λυμάτων σε σχέση με την εβδομάδα 26/07-01/08/21.
Ιωάννινα: Την τελευταία εβδομάδα, 02-08/08/21, στα Ιωάννινα το μέσο εβδομαδιαίο ιικό φορτίο των αστικών λυμάτων παρουσίασε μείωση (-60%) σε σχέση με την προηγούμενη εβδομάδα, 26/07-01/08/21.
Σημ1: Οι παραπάνω τάσεις έχουν υπολογιστεί με βάση τις τιμές του ιικού φορτίου, κανονικοποιημένες ως προς τον ισοδύναμο πληθυσμό των περιοχών. O ισοδύναμος πληθυσμός υπολογίζεται με βάση το ρυπαντικό φορτίο που καταλήγει στην εκάστοτε εγκατάσταση επεξεργασίας λυμάτων σε διάρκεια24 ωρών και τυπικών τιμών παραγωγής ρυπαντικού φορτίου ανά άτομο ανά ημέρα.
Σημ2: Τα εργαστήρια που συμμετέχουν στο δίκτυο είναι: Εργαστήριο Αναλυτικής Χημείας του Εθνικού και Καποδιστριακού Πανεπιστημίου Αθηνών, Διεπιστημονική Εργαστηριακή Ομάδα Επιδημιολογίας Λυμάτων του Αριστοτελείου Πανεπιστημίου Θεσσαλονίκης, Περιφερειακό Εργαστήριο Δημόσιας Υγείας Θεσσαλίας, Περιφερειακό Εργαστήριο Δημόσιας Υγείας Κρήτης, Εργαστήριο Υγιεινής της Ιατρικής Σχολής του Πανεπιστημίου Πατρών, Εργαστήριο Υγιεινής και Επιδημιολογίας του Τμήματος Ιατρικής του Πανεπιστημίου Ιωαννίνων.

