Αλλαγές στα δρομολόγια της γραμμής 12 του ΟΑΣΘ
Τα νέα ωράρια θα ισχύσουν από αύριο.

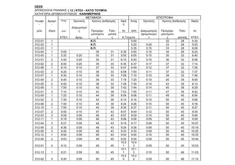
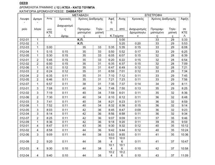
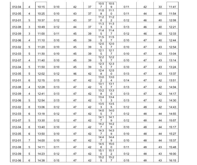
Σύμφωνα με σχετική ανακοίνωση του ΟΑΣΘ, και μετά από απόφαση της Ο.Σ.Ε.Θ. Α.Ε., τροποποιείται το πρόγραμμα λειτουργίας της γραμμής 12 ΚΤΕΛ – Κάτω Τούμπα.
Τα νέα ωράρια των δρομολογίων θα ισχύσουν από την Τρίτη 1 Μαΐου.
Για τις καθημερινές:




Για το Σάββατο:




Για την Κυριακή:



Σχετικά Αρθρα